§ библиотека мастерская Помощь Контакты Вход —

Гиппенрейтер Ю. Б. Введение в общую психологию. Курс лекций

В каталоге: Психология
Стр. 53

Главная “хитрость” его состояла в том, что он сделал окно непрямоугольным. В результате, когда окно поворачивается так, что его большая сторона оказывается к вам ближе, вы видите расположение окна правильно:

большую сторону ближе, меньшую дальше. Когда же на вас, начинает “находить” меньшая сторона, то ее размер (при убеждении, что стороны одинаковы) не позволяет “пропустить” ее вперед—и вы видите меньший край окна снова отходящим назад.

Механизмами такого рода много занимался Г. Гельмгольц. Для их описания он предложил термин “бессознательные умозаключения”. Г. Гельмгольц подчёркивал, что слово “умозаключение” надо ставить в кавычки потому, что этот процесс подобен умозаключению только по результату: по природе же он отличается от истинного умозаключения, так как происходит бессознательно. Мы как бы рассуждаем, но на самом деле этого не делаем: за нас подобную работу производит неосознаваемый перцептивный процесс.

Например, в случае иллюзии окна процесс этот эквивалентен следующему умозаключению.

Известно, что когда одна из одинаковых сторон меньше, то она дальше (большая посылка).

Эта сторона—меньше (малая посылка).

Значит, она дальше (вывод).

Поскольку процесс протекает бессознательно, сознательные усилия изменить его не могут. Бессознательные умозаключения, по выражению Гельмгольца, “непреодолимы”.

И действительно, сколько бы я вас ни убеждала, что на самом деле окно движется в одну сторону, сколько бы вы его ни “трогали руками” (в буквальном или переносном смысле), вы вce paвно будете видеть его движение иллюзорно.

Спросим себя, а есть ли автоматические процессы в умственной сфере? Конечно, есть. Их так много, что сразу даже трудно выбрать какой-нибудь простой пример.

Лучше всего, наверное, обратиться к области математики. Именно там для нас наиболее очевиден процесс последовательного наслоения все более сложных действий, умений или знаний на автоматизированные предшествующие “слои”. Уход более элементарных действий на неосознаваемый уровень сопровождается моментальным “усмотрением” того, что вначале требовало развернутого процесса мышления.

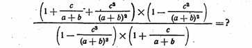
Рассмотрим такой алгебраический пример:

image008.gif

Чему равно это выражение? Одним словом, в ответе—единица. Так? Так. А теперь посмотрим, на что опиралось решение. Оно опиралось на непосредственное “видение” того, что, например, в числителе имеется неполный квадрат суммы и разность квадратов, а в знаменателе—разность кубов; на знание их разложения; на моментальное использование правила сокращения одинаковых сомножителей в числителе и знаменателе; на знание того, что 1 —это и I2 и I3, и т. д. Все эти “видения”, “использования правил”, “знания”—автоматизированные умственные действия, путь к которым состоял из многих и многих шагов, которые мы проделали, начиная с обучения в первом классе.

из 241
Предыдущая    Следующая
 
Реклама
Авторизуйтесь