§ библиотека мастерская Помощь Контакты Вход —

Печников А.Н. Теоретические основы психолого-педагогического проектирования автоматизированных обучающих систем

В каталоге: Педагогика
Прислано в библиотеку: pan287
Стр. 197

image062.jpg

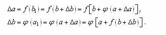
Соответственно изменение параметров а и равны

image064.jpg

Из последних соотношений следует, что изменение параметра зависит не только от параметра a объекта А, но и изменения параметра a под воздействием объекта В. Таким образом, в D содержится отображение параметра оригинала и самоотображение параметра. Так, посредствующий объект В отображает сам себя посредством оригинала А.

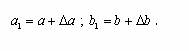
После взаимодействия Вimage066.gifС объект В характеризуется измененным параметром b2, а объект С - измененным параметром с1

image068.jpg

Следовательно, изменение параметра c отображающего объекта является функцией параметра оригинала, посредствующего объекта, измененного параметра посредствующего объекта под воздействием оригинала и параметра отображающего объекта. Из анализа приведенных соотношений следует, что "при конкретных значениях и приращениях параметров посредствующего объекта соответствие изменения отображающего объекта особенностям процесса оригинала существенно зависит от характеристик посредствующего объекта и может осуществляться с "помехами" из-за наличия этого посредствующего объекта" [93, С.31]. Таким образом, структура взаимодействующих объектов приводится к виду А«С.

 Если в рассмотренной структуре принять в качестве А - изучаемый объект, в качестве В - обучающего, а С - обучаемого, то приведенный выше в терминах теории информационных семантических систем вывод в терминах педагогики примет следующий вид: "При имеемом уровне познания изучаемого объекта обучающим и используемых им методах, приемах и способах обучения уровень усвоения обучаемым изучаемого объекта существенно зависит от уровня профессиональной и методической подготовки обучающего и может быть существенно снижен в случае несоответствия последних характеристикам обучаемого." Это утверждение является одной из основополагающих и общеизвестных закономерностей педагогики.

 Анализ пункта б). При рассмотрении двух взаимодействующих объектов А и С (см.рис.1.3.4) Dc=f(a+Da), откуда следует, что изменение параметра Dc объекта С представляет собой функцию параметра а и его изменения Dа. Как указывалось выше, а является объективной характеристикой оригинала А. В свою очередь Dа является субъективной характеристикой объекта А, определяемой характером взаимодействия А с С, а другими словами уровнем отображающих возможностей объекта С. Это обстоятельство является причиной возникновения дополнительных погрешностей, вносимых в процесс отображения отображающим объектом С. Естественно, что следует стремиться свести Dа к минимуму, последнее может быть достигнуто путем изменения характеристики а оригинала А на величину Dа за счет воздействия объекта В. Тогда а1=а-Dа и

из 443
Предыдущая    Следующая
 
Реклама
Авторизуйтесь