§ библиотека мастерская Помощь Контакты Вход —

Печников А.Н. Теоретические основы психолого-педагогического проектирования автоматизированных обучающих систем

В каталоге: Педагогика
Прислано в библиотеку: pan287
Стр. 236

1. Линейная зависимость (линейные преобразования).

1.1. Шкалирование отношений по базовому показателю качества (операция нормированияimage176.jpg). Применяется при построении относительных показателей качества (рис.2.1.3, а).

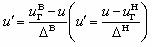
1.2. Шкалирование разности по базовому значению показателя качества (операция разностиimage178.jpg). Применяется для построения разностных показателей, характеризующих отклонение от базового значения, рассогласование с ним (рис.2.1.3, б).

1.3. Шкалирование отношения по предельно допустимому нижнему отклонению image180.gif разностного показателяimage182.jpg.Применяется для показателей, имеющих одностороннюю нижнюю границу. В области допустимого качества 0 £ u’< +¥, вне области u’< 0 (рис.2.1.3 в).

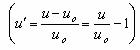
1.4. Шкалирование отношения отклонений от базового показателя по значению этого базового показателяimage184.jpg. Характеризует относительные рассогласования, отклонения (рис.2.1.3, г).

1.5. Шкалирование отношения по предельно допустимому верхнему отклонению image186.gif разностного показателяimage188.jpg. Применяется в для односторонних убывающих показателей. В области допустимого качества 0£ u’<+¥, вне области u' < 0 (рис.2.1.3, д).

1.6. Шкалирование отношения отклонений от верхней (нижней) границы по верхнему (нижнему) предельному отклонениюimage190.jpg. Применяется для односторонних убывающих (возрастающих) показателей качества (рис.2.1.3,е).

image192.jpg

image194.gif2. Экспоненциальная зависимость. В основном применяется два типа экспоненциального шкалирования относительного разностного показателя качества:

2.1. Зависимость Харрингтонаimage196.jpg, где image198.jpgдля u<uo, image200.jpgдля u>u0. В области допустимого качестваimage202.jpg, вне областиimage204.jpg. Мера u’ имеет максимум при базовом значении показателя u0. ( рис.2.1.4,а).

2.2. Зависимость Томашевскогоimage206.jpg, где image208.jpg для u<uo, image210.jpgдля u>u0. В области допустимого качества 1<u’< e, а вне ее u’< 1. (рис.2.1.4. б).

3. Ступенчатая зависимость. Ступенчатое преобразование рассматривается как отношение подобия с a = К в области допустимого качества и a = 0 вне ее. При К = 1 соответственно

u' = 1 в области допустимого качества и u' = 0 вне ее. Такая мера u' есть селектирующая функция области допустимого качества (рис.2.1.5).

image212.jpg

4. Степенная зависимость. Наиболее часто используется в видеimage214.jpg. Область допустимого качества симметрична и характеризуется значением меры 0 £ u’£ 1 (рис.2.1.6).

image216.jpg

Законы функционирования систем класса АС изучены не столь тщательно и полно, чтобы по ним можно было легко определить для сформулированного показателя или критерия класс допустимых преобразований и соответствующий ему вид шкалы. В таких случаях используется следующая общая стратегия: в процессе квантификации сформулированной на качественном уровне общей цели А системы представлять сформулированные на более низком уровне иерархии составляющие ее подцели в более сильной шкале, чем представлена порождающая эту подцель цель более высокого уровня. При этом резкий переход от наиболее слабых шкал к наиболее сильным не рекомендуется, т.к. в результате такого скачка может быть просто не выявлен ряд промежуточных подцелей, оказывающих определяющее влияние на достижение общей цели А системы. Только тщательный анализ в процессе квантификации общей цели системы каждой из получаемых на более низких уровнях иерархии подцелей, проводимый вплоть до выявления на низшем уровне этой иерархии полного неизбыточного набора количественно измеримых целей и соответствующих им наборов физически измеримых параметров (характеристик) системы, которые могут быть приняты в качестве частных показателей эффективности, а также последующая оценка представительности этих показателей на основе выявления мнения ЛПР обеспечивают определение полного неизбыточного набора количественно измеримых показателей эффективности системы, с необходимой степенью доверия отображающих соответствие системы целевому назначению.

из 443
Предыдущая    Следующая
 
Реклама
Авторизуйтесь