§ библиотека мастерская Помощь Контакты Вход —

Печников А.Н. Теоретические основы психолого-педагогического проектирования автоматизированных обучающих систем

В каталоге: Педагогика
Прислано в библиотеку: pan287
Стр. 271

Наиболее ярко данная тенденция проявляется в работах [9, 10] В.П. Беспалько. В этих работах наряду с вполне корректно сформулированными понятиями коэффициента усвоения Кa (2.35) и коэффициента освоения (автоматизации) Кt(2.36) формулируются следующие, не выдерживающие критики с позиций теории измерений понятия:

- коэффициент научности учебной дисциплины

image310.jpg

где bф - фактическая ступень абстракции, на которой ведется обучение;

 bт - ступень абстракции, достигнутая в соответствующей научной дисциплине;

- коэффициент осознанности усвоения

image312.jpg

где gу - степень осознанности усвоения учебного материала данным обучаемым; g кл - средняя степень осознанности усвоения учебного материала в классе; gц - степень осознанности как цель обучения;

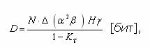
- дидактический объем усвоения в виде

image314.jpg

где N - число УЭ; D(a2b) = a2кbк - a2нbн - средний прирост качества усвоения по уровню усвоения и ступени абстракции, представляющий собой разницу значений этих параметров между конечным и начальным моментами обучения; H - средний объем учебной информации в описании одного УЭ.

В основу формулировки приведенных выше выражений кладется неправомерное и противоречащее формулировке понятий показателей a, b, g допущение о возможности их рассмотрения в качестве количественно измеримых в шкале интервалов параметров, в то время как фактически они являются чисто качественными, измеримыми только в ранговой шкале показателями.

В отношении объективности оценки дидактических показателей a, b,g необходимо отметить принципиальное различие в возможностях объективной оценки эталонного вида УЭ, определяющего состояние полного достижения целей обучения (необходимого качества усвоения), и фактического вида УЭ, представляемого обучаемым в процессе обучения. Эталонный вид УЭ, являющийся отображением целей обучения в терминах изучаемой предметной области, формулируется до начала обучения(непосредственного взаимодействия обучающего и обучаемых) на основе процедур экспертной оценки его соответствия заданным значениям a,b,g. В данном случае при условии необходимой представительности и согласованности мнений экспертов могут быть получены вполне объективные оценки указанных дидактических показателей. Фактический вид УЭ, представляемый обучаемым в условиях непосредственного взаимодействия обучающего и обучаемого (группы обучаемых), не может быть оценен с необходимой степенью объективности. В данном случае необходимые процедуры экспертной оценки не могут быть соблюдены, т.е. оценка представляемого обучаемым усвоенного им вида УЭ по этим показателям может быть только субъективной.

из 443
Предыдущая    Следующая
 
Реклама
Авторизуйтесь