| § | библиотека – мастерская – | Помощь Контакты | Вход — |
Печников А.Н. Теоретические основы психолого-педагогического проектирования автоматизированных обучающих систем. -- Петродворец: ВВМУРЭ им. А.С.Попова, 1995. - 322 с.
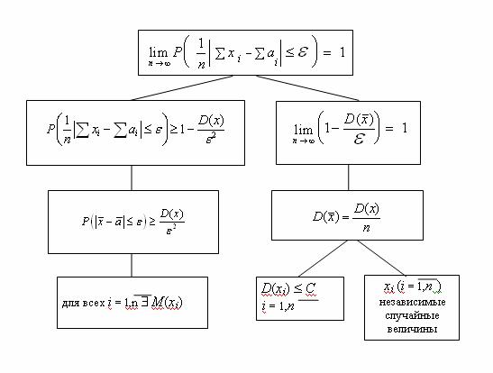
Стр. 301 На рис. 2.1.11 левый подграф в качестве базового понятия включает неравенство Чебышева, правый - условие ограничения дисперсий сверху. Понятия дисперсии, независимых случайных величин, математических ожиданий и ограничения сверху полагаются известными (исходными). Существование математических ожиданий является необходимым для справедливости неравенства Чебышева, так же как условие независимости случайных величин. В соответствии с представлениями дидактики конкретный вид ФМ знания (2.45) должен обеспечивать: - измерение сложности (объема) моделируемой процедуры формирования (доказательства истинности, справедливости) исследуемого понятия (изучаемого объекта А); - формальный анализ соответствия реализованной обучаемым процедуры формирования исследуемого понятия ее эталонному варианту, определяющему полное достижение целей обучения. Необходимо подчеркнуть, что характерной особенностью формирования ЛСМ и ФМ знания является тот факт, что формулируемое в результате формирования моделей знания понятие является не только операндом, но и объектом воздействия субъекта R, т.е. субъект R как оперирующая система непосредственно воздействует на исследуемые объект А. Значит все его операции по манипулированию с элементами объекта А должны быть эффективными, а сама процедура формирования моделей знания - алгоритмической, т.е. состоять только из эффективных операций и не содержать неоднозначно детерминированных разветвлений. Для обоснования понятий ЛСМ и ФМ умения (навыка) необходимо более подробно остановиться на самих понятиях умения и навыка. Выше (см. раздел 2.1.2) были сформулированы следующие понятия умения и навыка как динамических стереотипов деятельности: - умение есть способность правильно применять в практической деятельности ранее усвоенную ООД для решения широкого класса эквивалентных задач; - навык есть автоматизированная в результате упражнений способность применять в практической деятельности ранее усвоенную ООД по свернутой схеме для решения широкого класса эквивалентных задач, т.е. навык есть автоматизированное умение. Рис.2.1.11. Графовая функциональная модель теоремы Чебышева Определение специфических характеристик ЛСМ и ФМ умения (навыка) как частного вида ЛСМ и ФМ УЭ прежде всего требует конкретизации и формализации понятия задачи в приведенных выше определениях умения и навыка. Введем общее определение понятия "задача". "Задача, в самом общем виде - это система, обязательными компонентами которой являются: а) предмет задачи, находящийся в исходном состоянии (исходный предмет задачи); б) модель требуемого состояния предмета задачи (требование задачи)" [6, C.32]. Для обозначения задачи, рассматриваемой в качестве такого рода системы, используется термин "задачная система". Под решением задачи понимается воздействие на предмет задачи, обуславливающее ее переход из исходного состояния в требуемое. Воздействующая (оперирующая) система, которая обеспечивает решение задачи, определяется термином "решатель". Решатель может быть охарактеризован совокупностью средств решения задачи, находящихся в его распоряжении. К средствам решения задачи относятся "операторы, которыми располагает решатель, а также привлекаемые им операнды, дополнительные к тем, которые имеются в предмете задачи" [6, С.35]. В качестве таких операндов выступают "идеальные и реальные объекты, которые не входят в задачу, но привлекаются для ее решения, выступая как средства решения задачи, они прежде всего включают в себя знания об объектах и связях между ними, о способах распознавания и преобразования объектов" [75, С.75]. |
Реклама
|
||