§ библиотека мастерская Помощь Контакты Вход —

Печников А.Н. Теоретические основы психолого-педагогического проектирования автоматизированных обучающих систем

В каталоге: Педагогика
Прислано в библиотеку: pan287
Стр. 329

Значит, эффективность решения собственно дидактической задачи (эффективность деятельности обучения) определяется соотношением количества семантической информации (Iп) в отображениях УО, представляемых обучаемому в процессе реализации выбранного алгоритма обучающего воздействия, с тем количеством семантической информации (Iф), которое ему было фактически выдано для достижения необходимого качества усвоения УО(Iy). Выбор алгоритма реализации обучающего воздействия (приема, способа обучения) определяется тем прогнозируемым количеством семантической информации (Iпр) об УО, выдача которого обучаемому способна обеспечить необходимое качество усвоения УО при условии учета специфики его учебной деятельности.

Тогда оценка эффективности деятельности обучения определяется:

- эффективностью выбранной дидактической стратегии изучения УЭ;

- эффективностью выбранного алгоритма реализации обучающего воздействия (приема, способа обучения).

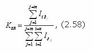
Критерий эффективности выбранной дидактической стратегии на основании введенных выше понятий УЭ, УО и оценок их трудоемкости может быть представлен в виде количественно измеримого показателя Кдс:

image371.jpg

где Iпрj - прогнозируемое количество семантической информации об УОj необходимое обучаемому для достижения заданного качества усвоения данного УОj;

Iфj - фактическое количество семантической информации, содержащееся в модели УОj, предъявляемой обучаемому в одном цикле обращения учебной информации;

i - число циклов обращения информации, фактически потребовавшихся данному обучаемому для завершения дидактического цикла по УОj (i=1, n);

image372.gifj - число УО в УЭ (j=1,m) в рассматриваемой дидактической стратегии (число дидактических циклов).

Если рассматривается один цикл обучения (дидактический цикл), то (2.58) примет вид:

image374.jpg

Таким образом, критерием эффективности дидактической стратегии является отношение прогнозируемого количества семантической информации об УЭ, которое необходимо обучаемому для достижения заданного качества усвоения, к тому фактическому количеству семантической информации, которое потребовалось для достижения этого качества.

Как указывалось выше, эффективность выбора алгоритма реализации обучающего воздействия определяется наиболее точным соответствием количества семантической информации об УОj, содержащейся в предъявляемых обучаемому в процессе реализации способа обучения отображениях этого УОj, с тем количеством информации об УОj, которое необходимо обучаемому для его усвоения. Здесь возможны две крайности:

из 443
Предыдущая    Следующая
 
Реклама
Авторизуйтесь