§ библиотека мастерская Помощь Контакты Вход —

Печников А.Н. Теоретические основы психолого-педагогического проектирования автоматизированных обучающих систем

В каталоге: Педагогика
Прислано в библиотеку: pan287
Стр. 334

Вторым слагаемым эффективности обучающей деятельности, как указано в определении, является качество реализации способа обучения. Формально это качество определяется адекватностью эталонной модели УЭ, которая предъявлена обучаемому в процессе и результате определенной системы обучающих воздействий, той нормативной модели УЭ, относительно которой оценивается обученность обучаемого как эффективность его учебной деятельности по результату в данной системе обучения. Как указывалось выше (см. раздел 1.1.4), в САО неадекватность этих двух видов моделей в условиях формализации диагностики и оценки качества усвоения является препятствием к осуществлению управления учебной деятельностью обучаемого.

Тогда критерий эффективности реализации способа обучения (Крп), аналогично критерию эффективности выбора способа обучения (Квп), можно представить в двух видах:

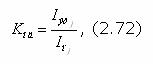
1. Для решения локальной задачи оценки эффективности реализации способа обучения

image392.jpg

здесь Крп - показатель эффективности типа "чем меньше, тем лучше", и задача реализации обучающего воздействия есть задача минимизации критерия (2.68).

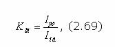
2. Для решения задачи оценки эффективности обучающей деятельности и обучающего воздействия в целом:

image394.jpg

где наиболее предпочтительной оценкой является Крп=1.

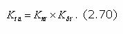
Сформулированные выше показатель собственной эффективности способа обучения (2.67) и показатели эффективности его реализации (2.68, 2.69) также удовлетворяют условиям (2.27, 2.28) существования и непрерывности, условиям независимости по приращению и предпочтению. Поскольку они образуют полный неизбыточный набор показателей собственно обучающей деятельности, то ее критерий Код представим в мультипликативной форме:

image396.jpg

Подставляя (2.67, 2.69) в (2.70), с учетом реализации определенной стратегии изучения УЭ имеем:

image398.jpg

а в цикле обучения (дидактическом цикле):

image400.jpg

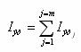
где: image402.jpg- количество семантической информации в эталонной (нормативной) модели УЭ; image404.gif- количество семантической информации в эталонной модели УО; image406.gif- количество семантической информации представляемой обучаемому в процессе реализации обучающего воздействия по УОj; Kод - критерий эффективности обучающей деятельности (KодÎ[0,1]).

Обучающая деятельность реализуется идеально и имеет максимально возможную эффективность (в пределах собственной эффективности выбранного приема (способа) обучения), если в результате реализации алгоритма обучающего воздействия объективно формируется эталонная модель УЭ (УО), полностью адекватная той нормативной модели, относительно которой оценивается степень обученности обучаемого. Предел эффективности обучающей деятельности определяется в деятельности обучения в виде собственной эффективности выбранного приема обучения. Максимального значения Код=1 критерий эффективности обучающей деятельности может достичь только в случае реализации обучающих воздействий 2 типа.

из 443
Предыдущая    Следующая
 
Реклама
Авторизуйтесь