§ библиотека мастерская Помощь Контакты Вход —

Печников А.Н. Теоретические основы психолого-педагогического проектирования автоматизированных обучающих систем

В каталоге: Педагогика
Прислано в библиотеку: pan287
Стр. 337

Таблица 2.1.6.


УОj(УЭ)

УЭ

УО1

УО2

УО3

УО4

lj

1

0.32

0.26

0.35

0.07

aпрj

0.08

0.78

0.85

0.72

0.98

Определим предельную эффективность обучающей системы в данных условиях на основе (2.82):

- Кос=0.785 - при использовании обучающей системой обучающих воздействий только 2 типа;

- Кос=0.393 - при использовании обучающей системой обучающих воздействий 1 типа с полной проверкой качества усвоения УОj обучаемым.

Таким образом, реальный предел эффективности обучающей системы определяется:

- ограничениями в возможности деления УЭ на определенное количество УОj (ограничениями в выборе дидактической стратегии изучения УЭ);

- ограничениями в свойстве обучаемости (aj<1) обучаемого в отношении УОj, составляющих принятую эффективную дидактическую стратегию изучения УЭ;

- параметрами функционирования самой обучающей системы.

Выше были обоснованы частные показатели эффективности всех деятельностей, составляющих обучение: учебной деятельности (2.53, 2.56), деятельность обучения (2.64-2.66) и обучающей деятельности (2.70-2.72). Все три эти показателя в соответствии с данными дидактики являются независимыми по предпочтению и независимыми по приращению, они удовлетворяют условиям (2.27, 2.28) существования и непрерывности, образуют полный неизбыточный набор показателей эффективности обучения. В соответствии с данными теории эффективности систем их интегральный критерий представим в аддитивной форме (2.32) или формах ей эквивалентных (мультипликативной (2.33), метрической, нормированной аддитивной и т.д.). Поскольку все три частных показателя определены на интервале от 0 до 1 и являются показателями вида "чем больше, тем лучше", представим соответствующий им интегральный критерий эффективности обучения в мультипликативном виде в соответствии с (2.33):

image426.jpg

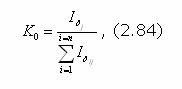
Подставляя значения (2.56, 2.66, 2.72) для критерия эффективности обучения в цикле обучения имеем:

image428.jpg

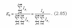
а в совокупности дидактических циклов, реализующих принятую эффективную дидактическую стратегию изучения УЭ на основе (2.56, 2.65, 2.71)

image430.jpg

Достижение максимального значения критерия эффективности обучения Ко=1 принципиально возможно при выполнении следующих условий:

из 443
Предыдущая    Следующая
 
Реклама
Авторизуйтесь