§ библиотека мастерская Помощь Контакты Вход —

Печников А.Н. Теоретические основы психолого-педагогического проектирования автоматизированных обучающих систем

В каталоге: Педагогика
Прислано в библиотеку: pan287
Стр. 357

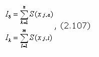
Алгоритм "логика +" оценки трудоемкости реализованной обучаемым учебной деятельности по формированию модели УЭ используется в том случае, когда обучаемый смог полностью сформировать эталонную модель УЭ (предъявить конечный элемент X11 обучаемому), но в процессе преобразования исходных и промежуточных элементов допустил ряд ошибок (погрешностей и т. п.).

В данном случае:

image480.jpg

где: S(хj,а) - оценка семантической информации, содержащейся в правильно реализованной ветви графа, в вершине которой лежит наивысший по уровню абстракций j правильно реализованный элемент Xj,а (j>1), а исходными элементами являются исходные элементы эталонной модели и элементы Xj,l, при формировании которых была допущена ошибка;

К - количество правильно реализованных ветвей графа, исходными элементами которых являются исходные элементы эталонной модели УЭ и элементы хj,l, при формировании которых была допущена ошибка преобразования (К=1,n);

S(хj,l) - оценка семантической информации, содержащейся в пучке связей элемента хj,l, при формировании которого была допущена ошибка преобразования;

l - число элементов хj,l, при формировании которых была допущена ошибка преобразования (l=1, m).

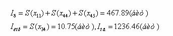
В рассматриваемом примере алгоритм "логика +" используется при оценке учебной деятельности обучаемого в третьей попытке формирования модели УЭ. В данной попытке обучаемым правильно реализованы следующие ветви модели:

- ветвь X11 с исходными элементами 3.1, 3.3, 3.4, 5.1, 5.2, 5.4, 5.5, 6.3, 6.4, 7.2, 7.4, 8.1 - 8.6;

- ветвь X44 с исходными элементами 5.7 - 5.9;

- ветвь X45 с исходными элементами 5.10 - 5.12;

Ошибка допущена при формировании пучка X34 с исходными элементами 4.4, 4.5. Соответственно имеем:

image482.jpg

Идеальная учебная деятельность обучаемого в рассматриваемом примере реализована в 4 и 5 попытках, для которых Iр = S(y, V, E) = 502.11 бит, Iк = 1 бит. В данном случае Iк есть информация, подтверждающая обучаемому факт правильности всех его действий.

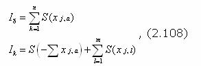
На основе (2.106) и (2.107) сформулируем обобщенный алгоритм расчета семантической информации, содержащейся в модели УЭ представленной обучаемым:

image484.jpg

где: S(хj, a) - оценка семантической информации, содержащейся в правильно реализованной ветви графа, в вершине которой расположен наивысший по уровню абстракции j правильно реализованный элемент Xj,a(j > 1), а исходными элементами являются исходные элементы эталонной модели и ошибочные элементы Xj,l;

из 443
Предыдущая    Следующая
 
Реклама
Авторизуйтесь