§ библиотека мастерская Помощь Контакты Вход —

Печников А.Н. Теоретические основы психолого-педагогического проектирования автоматизированных обучающих систем

В каталоге: Педагогика
Прислано в библиотеку: pan287
Стр. 359

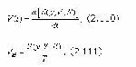
Для выработки критерия оценки уровня сформированности навыка произведем подстановку трудоемкости осуществленной деятельности (2.103) в (2.97):

image486.jpg

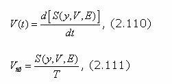
Дифференцируя (2.109), имеем:

image488.jpg

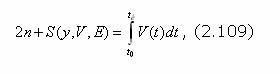
где: Vср - среднее значение потока информации или скорости ее преобразования, [бит/сек];

T = tк-to - интервал времени, потребовавшийся обучаемому для решения задачи [сек].

Показатель (2.111) можно представить также в виде показателя быстродействия, определяющего среднее время, необходимое на преобразование единицы информации:

image490.jpg

Следует отметить, что при отработке целого ряда навыков в решении задач, требующих непрерывного поступления обучаемому осведомляющей информации (задач, решаемых в реальном масштабе времени), необходимый темп ее подачи определяется достигнутым уровнем сформированности навыка, т.е. (2.111, 2.112). При этом в качестве интервала времени Т принимается время, отводимое обучаемому на решение задачи.

Представление критерия оценки уровня сформированности навыка в виде (2.111, 2.112) позволяет:

- количественно оценивать освоенность (степень автоматизации) учебной деятельности обучаемого с учетом ее трудоемкости;

- производить объективный сравнительный анализ сформированности различных навыков у различных обучаемых;

- в период проведения практических занятий (упражнений. тренировок и т. п.) определять темп подачи информации обучаемым с учетом их уровня подготовки и индивидуальных способностей, т.е. на практике осуществлять дидактический принцип обучения на высоком уровне трудности;

- производить оценку действий обучаемого с учетом интенсивности его деятельности;

- при наличии видовых нормативных показателей скорости преобразования информации (по восприятию, преобразованию информации, выполнению сенсомоторных операций и т. д.) обосновать теоретический подход к формированию нормативных показателей любого навыка.

При анализе приведенной выше методики оценки семантической информации, содержащейся в эталонной модели УЭ, по формуле (2.93) обращает на себя внимание тот факт, что в случае разбиения УЭ на ряд УО, количество семантической информации, содержащейся в моделях УО, значительно меньше информации, содержащейся в модели УЭ:

image492.jpg

где: УОi - УО составляющий часть УЭ, совокупность моделей УОi составляет УЭ(i = 1, n).

Так, для задачи, представленной на рис.2.2.4, в случае разбиения УЭ на УО1 с вершиной в X53 и УО2 с вершиной в X11 имеем: I(уо1) = 114.25 (бит), I(уо2) = 300.66 (бит), I(уэ) = 502.11 (бит), I(уэ)-I(уо1)-I(уо2) = 87.21 (бит).

из 443
Предыдущая    Следующая
 
Реклама
Авторизуйтесь