§ библиотека мастерская Помощь Контакты Вход —

Печников А.Н. Теоретические основы психолого-педагогического проектирования автоматизированных обучающих систем

В каталоге: Педагогика
Прислано в библиотеку: pan287
Стр. 365

image494.jpg

Рис. 2.2.5. Представление цели в “узком” смысле и “ущерба” от её недостижения

Отклонение вектора хi от хэтi вызывает ухудшение качества функционирования системы в отношении цели Кi, т.е. наносит некоторый "ущерб" (Еi) качеству ее функционирования. Характер изменения этого "ущерба" в зависимости от удаления конца вектора хi от центра области полного достижения цели Кi представлен на рис.2.2.5в. В качестве "ущерба" в задачах управления АС могут рассматриваться:

- детерминированная величина потерь Еi в единицу времени;

- вероятностная величина рi появления потерь Еi (риск), где рi - вероятность появления события, при котором возникают потери Еi;

- вероятность невыполнения некоторых заданных функций.

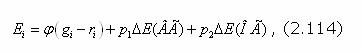
Для абсолютного большинства задач управления величина "ущерба" будет определяться как скачками ущерба Е(ог) и Е(вг) при переходе через ОГ и ВГ (см.рис.2.2.5в), так и удаленностью qi конца вектора хi от l(хвг) области цели. Отсюда "ущерб" в общем виде имеет вид:

image496.jpg

где: j - функция связи между Е и удаленностью qi от ВГ, определяемой величиной ri;

р1, р2 - логические операторы, принимающие значение 1 соответственно при qi £ ri и qi ³ Ri.

В некоторых задачах управления может также учитываться скачок "прибыли" (см.рис.2.2.5в), возникающий как следствие избыточной организованности системы в отношении цели Кi.

Для системы обучения исключительно важен вопрос установления внутренних и опасных границ, решение которого определяется целями обучения (требованиями к качеству усвоения деятельности обучаемым). В системно-информационном анализе рассматриваются два вида "опасных" границ:

а) действительно "опасные" (ОГ), когда при переходе через них задача функционирования не выполняется полностью - в этом случае "ущерб" достигает максимально возможного значения Еmax=Е(ог);

б) условно "опасные" (УОГ), когда Еmax >> Е(уог)=Едоп, где Едоп - некоторое заданное значение "ущерба", превышение которой означает нарушение заданного режима функционирования, убыточность работы и т.п., но не срыв решения задачи функционирования или полное недостижение цели Кi.

В отношении системы обучения вышеуказанное означает, что для любого параметра хi, определяющего качество решения критериальной учебной задачи обучаемыми, назначение ВГ и УОГ (ri,Ri) определяется требованиями к качеству усвоения обучаемыми данного вида деятельности. Единственным условием, ограничивающим свободу выбора ВГ и УОГ, является выполнение соотношения

из 443
Предыдущая    Следующая
 
Реклама
Авторизуйтесь