§ библиотека мастерская Помощь Контакты Вход —

Печников А.Н. Теоретические основы психолого-педагогического проектирования автоматизированных обучающих систем

В каталоге: Педагогика
Прислано в библиотеку: pan287
Стр. 369

- для абсолютного большинства задач управления функцию y достаточно представить одной из четырех зависимостей: линейной, степенной, логарифмической и экспоненциальной.

Если в (2.127, 2.128) функция f есть функция y приведения рассматриваемой неорганизованности yj к вышестоящему показателю yв, то такая неорганизованность называется "приведенной неорганизованностью". Тогда для приведенной неорганизованности (2.128) примет вид:

image523.jpg

где y - функция чувствительности вышестоящего показателя yв к изменению yj

image524.gifЕсли в качестве вышестоящего показателя yв выступает оценка ЛПР, отображающая систему его предпочтений в отношении функционирования системы, то (2.127) есть объективная оценка неорганизованности yj в системе предпочтений ЛПР.

Рассмотрим одно из частных выражений для приведенной неорганизованности, из которого могут быть получены все основные выражения для информации и энтропии. Будем исходить из выражения (2.127) и допустим, что имеется m ситуаций, l=1, d=1, а вероятность появления каждой j-ой ситуации рj. Введем показатель wj - вес каждой ситуации, учитываемый при их объединении. В этом случае можно говорить об ансамбле ситуаций

image526.jpg

Полагая, что обобщение в (2.127) осуществляется в предположении аддитивности отдельных ситуативных неорганизованностей, получим

image528.jpg

Здесь Pyj - параметр неупорядоченности, который соответственно находится для абсолютной, относительной и степенной неупорядоченности из выражений:

image530.jpg

image531.gifгде: С - коэффициент, определяемый из условия yj =0 при Y(Pj)=0

wj - веса неупорядоченностей, учитываемые при их объединении.

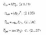
Исходя из (2.130) и указанных выше характеристик функции Y, получим основные выражения для апостериорной оценки единичных приведенных неорганизованностей:

image533.jpg

где: C, k, a, n - соответственно постоянные коэффициенты и степенная зависимость.

Если при той или иной заданной зависимости y из (2.130) найдено значение обобщенно неорганизованности О, то используя обратную функцию Y-1, можно получить соответствующее этой неорганизованности значение обобщенного параметра неупорядоченности:

image535.jpg

Отсюда в системно-информационной анализе определяется система правил для сложения (объединения) и вычитания (различия) однотипных неорганизованностей с точностью до постоянных С. Для объединения однотипных и независимых неорганизованностей необходимо сначала получить их отображения на множестве параметра неупорядоченности, сложить (или перемножить) значения этих отображений, а затем полученный результат опять отобразить на множество неорганизованности, т.е.

из 443
Предыдущая    Следующая
 
Реклама
Авторизуйтесь