§ библиотека мастерская Помощь Контакты Вход —

Печников А.Н. Теоретические основы психолого-педагогического проектирования автоматизированных обучающих систем

В каталоге: Педагогика
Прислано в библиотеку: pan287
Стр. 392

image660.jpg

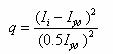
Переходя в (2.190) к конечным приращениям в принятой системе моделей исчисления информации в системе обучения имеем:

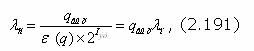
image662.jpg

Таким образом, если коэффициент lп прагматической ценности семантической информации является характеристикой графовой модели УЭ в определяемой e(q) системе оценки прагматической информации и определяет “вес” единицы семантической информации для полного достижения цели обучения, то коэффициент lс семантической ценности поступившей от ПИ (обучаемого) информации характеризует результативность деятельности обучаемого по усвоению рассматриваемого УЭ и позволяет прогнозировать эффективность следующего обучающего воздействия в отношении того или иного УЭ. Чем выше семантическая ценность полученной от обучаемого информации в отношении УЭ,тем эффективнее обучающее воздействие по параметру абсолютной неупорядоченности q.

Покажем это на примере. Пусть в системе оценки, определяемой e(q) = 0.0625,

image664.jpg

и имеется следующая информация о качестве усвоения обучаемым трех УЭ:

УЭ1 Iэт=6 I1=4 q1=0.44 lc1=1.1*10-1

УЭ2 Iэт=10 I1=6 q1=0.64 lc2=1.0*10-2

УЭ3 Iэт=10 I1=7 q1=0.36 lc3=5.6*10-3

Допустим, что в результате обучающего воздействия обучаемый способен усвоить Iс = 1. В соответствии с оценкой lс наиболее перспективно обучающее воздействие по УЭ1. Проверка дает аналогичные результаты:

УЭ1 I2=6 q2=0.11 Dq=+0.33

УЭ2 I2=7 q2=0.36 Dq=+0.28

УЭ3 I2=8 q2=0.16 Dq=+0.20

С позиций практики обучения такой вывод тривиален: при одной и той же обучаемости обучаемого аналогичные обучающие воздействия эффективнее в отношении УЭ с меньшей трудоемкостью и более низким уровнем усвоения.

из 443
Предыдущая    Следующая
 
Реклама
Авторизуйтесь