§ библиотека мастерская Помощь Контакты Вход —

Печников А.Н. Теоретические основы психолого-педагогического проектирования автоматизированных обучающих систем

В каталоге: Педагогика
Прислано в библиотеку: pan287
Стр. 420

Приведенные выше преимущества научного эксперимента и были использованы для проверки истинности разработанных модельных форм представления понятий и закономерностей дидактики, а также подтверждения сформулированных в процессе их обоснования гипотез и разработки соответствующих имитационных моделей. Постановка описываемого ниже научно-исследовательского педагогического эксперимента требовала использования всех обоснованных выше модельных форм представления понятий и закономерностей дидактики, и поэтому его проведение не могло быть организовано на более ранних этапах исследования.

При обосновании модельных форм представления понятий, определяющих систему предпочтений дидактики в отношении эффективности обучения (см. раздел 2.1.3), была обоснована следующая формулировка понятия обучаемости: обучаемость есть способность обучаемого как индивидуума, решающего познавательную задачу, к усвоению вполне определенной части из того количества семантической информации, которое содержится и может быть извлечено из эталонной модели УЭ в результате ее однократного предъявления в виде, наиболее полно соответствующем специфическим особенностям данного обучаемого. На основе анализа данных педагогической психологии в отношении свойства обучаемости была сформулирована основная функциональная закономерность учебной деятельности, заключающаяся в том, что проявление свойства обучаемости у обучаемого существенно зависит от трудоемкости усвоения изучаемого УЭ: чем больше трудоемкость усвоения УЭ, тем меньше свойство обучаемости и ниже качества усвоения УЭ. На основе данной закономерности и введенной модельной формы представления понятия обучаемости были сформулированы следующие три рабочие гипотезы:

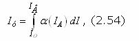
Гипотеза 1. Свойство обучаемости может быть отображено в виде монотонно убывающей от 1 до 0 функции от количества семантической информации, выданной обучаемому в процессе реализации одного обучающего воздействия:

image767.jpg

где a - функция обучаемости.

Гипотеза 2. Если обучающая деятельность обучающего полностью соответствует специфике учебной деятельности обучаемого, то качество усвоения УЭ обучаемым определяется только трудоемкостью усвоения УЭ и свойством обучаемости обучаемого:

image769.jpg

где: Iу - количество усвоенной обучаемым семантической информации об УЭ; Iв - количество семантической информации об УЭ, выданное обучаемому в процессе реализации обучающего воздействия; Iо - количество семантической информации (сведения) об УЭ, известное обучаемому до начала обучения.

из 443
Предыдущая    Следующая
 
Реклама
Авторизуйтесь