§ библиотека мастерская Помощь Контакты Вход —

Печников А.Н. Теоретические основы психолого-педагогического проектирования автоматизированных обучающих систем

В каталоге: Педагогика
Прислано в библиотеку: pan287
Стр. 432

Совсем иначе обстояло дело у данного обучаемого при усвоении УЭ такой же трудоемкости, но представленного в виде двух УО. Фактически данные учебной деятельности данного обучаемого представлены в таблице 2.3.9.

Для объяснения явления резкого изменения характера учебной деятельности обучаемого достаточно оценить вероятность усвоения УО1 и УО2, составляющих изучаемый УЭ.

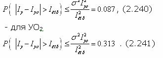
Оценка вероятности выдачи обучаемому информации корректуры, превышающей ее оптимальное значение Iкор = 158 бит:

image809.jpg

Соответственно оценки вероятности выдачи обучаемому информации меньшей Iкор - 158 бит составляет:

image811.jpg

Именно эти вероятности и реализовались в процессе учебной деятельности рассматриваемого обучаемого.

Анализ данных эксперимента позволил сделать вывод, что погрешности самой имитационной модели можно учесть в (2.236) и представить формулировку закона управления обучением в установившемся режиме в виде

image813.jpg

где s - среднее квадратическое отклонение полиномиальной модели функции обучаемости.

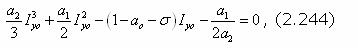
Необходимо отметить, что применение дидактической стратегии представления УЭ в виде совокупности УО повышает эффективность обучения только в том случае, если трудоемкость УЭ превышает его оценку, полученную при решении 2.244.

Покажем это на примере обучаемого, чья модель функции обучаемости имеет следующие параметры: a0= 0.979553, a1=0.00079, a2=-0.000001, s2=0,000, "потолок" усвоения Imax = 1594.37 бит.

Таблица 2.3.9.

Типичные эмпирические данные процесса усвоения УЭ в экспериментальной группе

image815.jpg

Решая (2.244) для данного обучаемого, имеем Iкор = 389.5 бит, Iуо = 1201.87 бит с первого предъявления. Это утверждение подтверждают данные эксперимента: в процессе усвоения всех шести УЭ у данного обучаемого только один раз возникала потребность в корректуре его учебной деятельности. Оценивая эффективность обучения такого обучаемого, имеем:

- в условиях экспериментальной группы Ко = Кос = 0.3047;

- в условиях контрольной группы Ко = Кос = 0.3333.

В точке Iэт = 502.11 функция обучаемости данного обучаемого имеет значение a=1.0, что гарантирует полное усвоение УЭ с первого предъявления, снижение эффективности обучения определяется только неправильным выбором стратегии обучения. При этом, чем на большее число УО будет разделен УЭ, тем менее эффективным будет обучение такого обучаемого.

По результатам проведенного эксперимента можно сделать следующие выводы [102]:

из 443
Предыдущая    Следующая
 
Реклама
Авторизуйтесь