§ библиотека мастерская Помощь Контакты Вход —

Дружинин В.Н. Экспериментальная психология: Учебное пособие — М.: ИНФРА-М, 1997

В каталоге: Психология
Прислано в библиотеку: sergei78
Стр. 217

Следовательно,

image162.gif

Для сравнения шансов на успех i-гo испытуемого решить задания k и п берем отношение:

image164.gif

Тем самым отношение шансов испытуемого решить два разных задания определяется лишь трудностью этих заданий.

Обратим внимание, что шкала Раша (в теории) является шкалой отношений.

Теперь у нас есть возможность ввести единицу измерения способности (в общем виде — свойства). Если взять натуральный логарифм от image166.jpg или image168.jpg, то получается единица измерения "логит" (термин ввел Г.Раш), которая позволяет измерить и "силу пункта" (трудность задания), и величину свойства (способность испытуемого) в одной шкале.

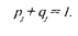
Эмпирически эта процедура производится следующим образом. Предполагается, что данные тестирования и значения латентных переменных характеризуются нормальным распределением. Уровень "способности" испытуемого в "логитах" определяется на шкале интервалов с помощью формулы:

image170.gif

где п — число испытуемых, рi — доля правильных ответов i-гo испытуемого на задания теста, qi — доля неправильных ответов,

image172.jpg

р — доля правильных ответов для испытуемой группы, q — доля неправильных ответов.

image174.jpg

Рекомендуется рассматривать лишь интервалы от до как для Р (трудности), так и для Q (способность).

Второй этап шкалирования испытуемых и заданий сводится к тому, что шкалы преобразуются в единую путем "уничтожения" влияния трудности задания на результат индивидов.

image176.gif

image178.gif

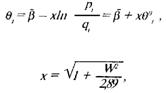
И наоборот, элиминируется влияние индивидуальных способностей на решение заданий различной трудности. Для шкалы испытуемых:

image180.gif

где (β — среднее значение логитов трудности заданий теста, W — стандартное отклонение распределения начальных значений параметра (β, n — число испытуемых). Для шкалы заданий:

из 261
Предыдущая    Следующая
 
Реклама
Авторизуйтесь