§ библиотека мастерская Помощь Контакты Вход —

Дружинин В.Н. Экспериментальная психология: Учебное пособие — М.: ИНФРА-М, 1997

В каталоге: Психология
Прислано в библиотеку: sergei78
Стр. 220

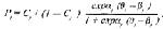
Бирнбаум предложил трехпараметрическую модель, которая позволила бы учесть влияние угадывания на результат выполнения теста.

Трехпараметрическая модель Бирнбаума выглядит так:

image194.gif

Соответственно оценка "силы" пункта (трудности задания) в логистической форме модели

image196.gif

С характеризует вероятность правильного ответа на задание j в том случае, если испытуемый угадывал ответ, а не решал задание, т.е. при θ > 0. Для заданий с пятью вариантами ответов С = 0,2, с четырьмя вариантами С = 0,25 и т.д.

Нетрудно заметить, что характеристическая кривая задания при учете параметра С становится более пологой, так как 0 < С < 1,но при всех С = 0 кривая поднимается над осью θ на величину С . Тем самым даже самый неспособный испытуемый не может показать нулевой результат. Дифференцирующая сила тестового задания при введении параметра С снижается. Из этого следует нетривиальный вывод: тесты с "закрытыми" заданиями (вынужденным выбором ответа) хуже дифференцируют испытуемых по уровням свойства, чем тесты с "открытыми" заданиями.

Модель Бирнбаума не объясняет парадоксального, но встречающегося в практике тестирования феномена: испытуемый может реже выбирать правильный ответ, чем неправильный. Таким образом, частота решения некоторых заданий может не соответствовать предсказаниям модели Р < С, тогда как, согласно модели Бирнбаума, в пределе Р = С.

Рассмотрим еще одну модель, которую предложил В.С.Аванесов. Как мы уже заметили, в IRT не решается проблема валидности: успешность решения задачи зависит в моделях IRT только от одного свойства. Иначе говоря, каждое задание теста считается априорно валидным.

Аванесов обратил внимание на это обстоятельство и ввел дополнительный, четвертый, параметр, который можно обозначить как внутреннюю валидность задания. Успешность решения задания определяется не только "основной" способностью (θ), но и множеством условий, нерелевантных заданию, однако влияющих на деятельность испытуемого.

из 261
Предыдущая    Следующая
 
Реклама
Авторизуйтесь