§ библиотека мастерская Помощь Контакты Вход —

Татарова Г.Г. Методология анализа данных в социологии (введение) /Учебник для вузов

В каталоге: Разное
Прислано в библиотеку: Vsevolod
Стр. 163

image137.png

(2) (3) (4) (5) (6) социологи культурологи филологи психологи историки

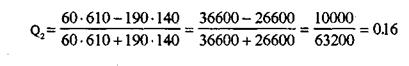
Схема 3.4.2. Таблицы сопряженности «удовлетворенность учебой на 4 балла» с будущими профессиями студентов

Для политологов коэффициент Юла был равен Q,=0,14. Для социологов Q2=0,l6, так как

image139.jpg

Аналогичным образом вычисляются значения коэффициента для Культурологов, филологов, психологов и историков. Соответственно получим следующие значения:

image140.png

Таким образом, если не учитывать, прямая (значения коэффициента положительные) или обратная (значения коэффициентов отрицательные) связь, наши шесть профессий по степени влияния на удовлетворенность упорядочиваются следующим образом:

image141.png

Свойства «быть культурологом» и «быть филологом», скорее всего, связаны со свойством «удовлетворенность учебой на четыре балла» и влияют на него. Свойства «быть психологом» и «быть политологом», скорее всего, не влияют. От них удовлетворенность учебой не зависит. Еще раз хочется напомнить, в каком смысле «влияет», в каком смысле «зависит». Пока только в смысле статистической зависимости. Почему мы говорим «скорее всего»? Потому что по формальным критериям может оказаться, например, что все значения коэффициентов незначимо отличаются от нуля. Полученный результат ранжирования — лишь контекст для формирования новых содержательных гипотез и усложнения моделей изучения связи.

Понятие детерминации

Для анализа локальной связи можно использовать и язык детерминации [14]. Правило «если С, то У» называется детерминацией. Термин «determinatio» был введен в 1900 году в биологии и обозначает ситуацию, когда одно свойство («быть будущим социологом (С)») оказывает влияние на другое («быть удовлетворенным учебой (У)»). Такое влияние обозначается «С—» У». Детерминация имеет две основные характеристики: интенсивность I (С®У) детерминации и емкость С (С®У ) детерминации. Формально — это условные частоты. В наших обозначениях эти характеристики равны:

из 225
Предыдущая    Следующая
 
Реклама
Авторизуйтесь