§ библиотека мастерская Помощь Контакты Вход —

Татарова Г.Г. Методология анализа данных в социологии (введение) /Учебник для вузов

В каталоге: Разное
Прислано в библиотеку: Vsevolod
Стр. 167

Упомянутый выше «язык» анализа локальных связей ¾ язык детерминации ¾ достаточно легко переводится и на многомерный случай. Однако к работе [13] следует обращаться, имея определенный уровень математической подготовки.

Меры связи, основанные на c2 (хи-квадрат)

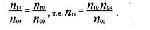
Представим себе, как будет выглядеть наша таблица сопряженности в ситуации статистической независимости между феноменами «будущая профессия» и «удовлетворенность учебой». Нетрудно вспомнить, что при статистической независимости, например, для частоты в ячейке (1,4) выполняется соотношение:

image154.jpg

Если теперь записать это в общем виде, т. е. для любой ячейки (i j), то в случае статистической независимости будет верно соотношение:

image156.jpg

Эту частоту, для ее отличия от реальной, можно назвать теоретической и обозначить через image157.png. В таблице 3.4.4 приведены наши реальные частоты, взятые из таблицы 3.3.1, и теоретические. Первые из них — в верхнем левом углу ячейки, а вторые — в нижнем правом углу ячейки.

Таблица 3.4.4. Таблица сопряженности: реальные и теоретические частоты

image159.jpg

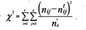
Является естественным для определения отклонения от статистической независимости воспользоваться разностью между реальными частотами и теоретическими (для случая статистической независимости), т.е. разностью вида image161.pngКак и в случае введения формулы для вычисления дисперсии, нам нужны абсолютные значения этой разности, поэтому возводим ее в квадрат. Этот квадрат делим на теоретическую частоту, т. е. как бы нормируем. Тем самым достигается независимость от объема ячейки. Все ячейки становятся равноправными независимо от их объема. Затем суммируем все эти отклонения по всем 30-ти ячейкам таблицы и получаем величину называемую хи-квадрат. Она выглядит следующим образом:

image163.jpg

Для нашего примера эта величина вычисляется как сумма тридцати членов:

image165.jpg

Эта величина, эта статистика знаменита тем, что имеет закон распределения, который называется законом распределения хи-квадрат. Поэтому с ее помощью решается много различных задач, проверяются различные статистические гипотезы. Нас пока интересует только аспект использования величины хи-квадрат для конструирования мер связи. Самой этой величиной как мерой связи неудобно пользоваться, ибо ее значение может быть каким угодно большим и зависит от размера таблицы сопряженности. Различие в коэффициентах, основанных на хи-квадрат, заключается в определенном нормировании величины хи-квадрат. Одним из часто используемых коэффициентов является коэффициент взаимной сопряженности Пирсона. Он имеет следующий вид:

из 225
Предыдущая    Следующая
 
Реклама
Авторизуйтесь