§ библиотека мастерская Помощь Контакты Вход —

Овчинникова М.В. Методика работы над текстовыми задачами в начальных классах (общие вопросы): Учебно-методическое пособие для студентов специальностей «Начальное обучение. Дошкольное воспитание» – К.: Пед.пресса, 2001

В каталоге: Педагогика
Прислано в библиотеку: Кузька
Стр. 86

Например:

1.        Маша отдала несколько открыток подруге, после чего у нее осталось 5 открыток. Сколько открыток отдала Маша подруге?

После выяснения, какого данного не хватает для возможности решения задачи, ученикам можно предложить самостоятельно подобрать, сколько открыток было у Маши, и решить при этом несколько задач вместо одной.

2.        К чаю подали 9 пирожных «эклер», 6 пирожных «корзиночек» и 12 шоколадных конфет. Съели 11 пирожных. Сколько пирожных осталось?

Следует выяснить, какие данные лишние, как изменить вопрос или что изменить в условии, чтобы использовать все данные. Опять решается не одна, а несколько задач.

Задачи с избыточными данными могут быть противоречивыми и непротиворечивыми. На наш взгляд, детям обязательно нужно показывать такие задачи.

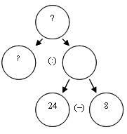
Рассмотрим работу над задачами такого вида на конкретных примерах. Даны задачи: а) «Дети сорвали 24 яблока. 8 яблок они съели, а остальные поделили поровну. Сколько яблок получил каждый ребенок?»; б) «Таня и Сережа сорвали 18 яблок. Таня сорвала 6 яблок, а Сережа в 2 раза больше. Сколько яблок сорвал Сережа?»; в) «Таня и Сережа сорвали 18 яблок. Таня сорвала 6 яблок, а Сережа в 3 раза больше. Сколько яблок сорвал Сережа?». Составим схемы разбора каждой из предложенных задач.

Задача а)

image148.jpg

Задача (а) является задачей с недостающими данными. Она напоминает деформированную задачу, однако, в отличие от деформированной задачи, не имеет «окошка», т.е. конкретного указания на то, что пропущено данное. Эту задачу можно использовать для составления каскада задач.

Задачи (б) и (в) являются задачами с избыточными (лишними) данными. Однако одна из них может быть решена и непротиворечива, а другая не имеет однозначного решения, данные в ней противоречат друг другу.

Задача б)

image150.jpg

Данная задача, решенная с использованием каждой пары данных, дает одинаковый ответ (12 яблок сорвал Сережа). Таким образом, эта задача не содержит противоречивых данных.

из 126
Предыдущая    Следующая
 
Реклама
Авторизуйтесь