§ библиотека мастерская Помощь Контакты Вход —

Ахвердова О.А., Гюлушанян К.С., Козлитина О.Н. Руководство к проведению семинарских и практических занятий по курсу «Психология развития и возрастная психология»: Учебное пособие. Ч.2

В каталоге: Психология
Прислано в библиотеку: kuzinator
Стр. 53

Ширина плеч (акромиальныи диаметр). Расстояние между правой и левой плечевыми точками в области середины наружного края плечевого отростка лопатки (akromion), больше всего выступающего в сторону при опущенных руках у прямо сидящего человека.

Наибольшая ширина таза (диаметр hi-trochanterion) представляет собой наибольший обхват бедра — горизонтально через больше всего выступающие области ягодиц (в положении стоя, с сомкнутыми пятками). При измерении надо избегать сильного нажатия.

Ширина таза. Максимальное расстояние между гребнями подвздошных костей (в положении стоя, с сомкнутыми пятками). Измерение этого показателя требует специального инструментария.

Измерение окружности головы

Максимальное из трех измерений по наиболее выступающим точкам затылка и надбровья.

Измерение веса тела

Вес тела измеряется с точностью до 100 г утром до еды, после опорожнения кишечника и мочевого пузыря.

Метод индексов

Существует множество индексов, соотносящих рост и вес субъекта. На их основе часто дается чисто морфологическая классификация конституциональных типов. К примеру, исходя из индексов общего строения тела, Ф. Вейденрейх выделяет лептозомный и эйризомный типы.

Индекс Пинье:

image001.png,

где L - длина тела, см; Р— вес тела, кг; Т— обхват грудной клетки, см.

У мужчин в возрасте 20-25 лет индекс укладывается в пределах 21-25.

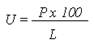
Индекс Рорера:

image003.jpg

где Р— вес тела, г; L — длина тела, см.

Домашнее задание

1.        Основные методы исследования в психологии развития и возрастной психологии. Метод анкеты. В кн. Г.С. Абрамовой Практикум по возрастной психологии. С. 21 - 39.

2.        В тетрадях для практических работ выполнить следующие задания:

Задание № 1. Анализ анкеты

Проанализируйте содержание вопросов анкеты, постарайтесь выделить группы вопросов, которые относятся к одному и тому же фактору, назовите этот фактор. Определите тип вопроса, пользуясь классификацией, описанной в работе А. П. Болтунова (анализируется анкета Маудсли).

из 253
Предыдущая    Следующая
 
Реклама
Авторизуйтесь