§ библиотека мастерская Помощь Контакты Вход —

Гусев А. Н., Измайлов Ч.А., Михалевская М.Б. Измерение в психологии: общий психологический практикум. / 2-е изд

В каталоге: Психология
Прислано в библиотеку: a5720g
Стр. 181

image384.png

dij есть значение "правильной" абсциссы, для точки, выпавшей из графика монотонности) покажет степень несоответствия данной диаграммы условию полной монотонности.

Данный метод определения количественной меры достижения монотонности был предложен Крускалом (1964) и предложенная им мера была названа стрессом. Для достижения полной монотонности в алгоритме Янга—Торгерсона определяется матрица минимизирующая выражение (33). Количественной мерой достижения монотонности служит мера, названная авторами индексом адекватности:

image386.png

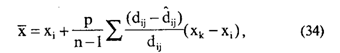
В случае неудовлетворительного значения I найденные dij вводятся в исходную матрицу различий, и первый этап повторяется сначала. В обратном случае переходят к следующему этапу — улучшению исходной конфигурации. Для этого каждая координата Х точки i преобразуется с помощью выражения:

image388.png

где р — коэффициент, определяющий сходимость итеративного процесса.

Новая конфигурация также проверяется на условие достижения монотонности по индексу адекватности I. Если I не получил удовлетворительного значения, то последний этап повторяется. В обратном случае решением являются координаты точек, полученные в последнем шаге итерации.

из 192
Предыдущая    Следующая
 
Реклама
Авторизуйтесь