§ библиотека мастерская Помощь Контакты Вход —

Гарбузов В. И. Практическая психотерапия, или как вернуть ребенку и подростку уверенность в себе, истинное достоинство и здоровье

В каталоге: Медицина
Прислано в библиотеку: ElenaWD
Стр. 3

Поскольку концепция семи инстинктов человека при непременном доминировании одного из них чрезвычайно актуальна для психологов, психотерапевтов и педагогов, рассмотрим ряд вытекающих из нее положений.

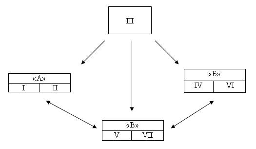
Принципиален порядковый номер инстинкта, поскольку он отражает место инстинкта в иерархическом ряду и его взаимосвязи с остальными инстинктами. И инстинкт самосохранения имеет порядковый номер - I, продолжения рода - II, альтруистический - III (иерархически данный инстинкт занимает более высокое место, но его особая взаимосвязь с инстинктом продолжения рода, как и особое социализирующее воздействие на инстинкты самосохранения и продолжения рода, заставляют поместить его именно под порядковым номером III), исследовательский - IV, доминирования - V, свободы - VI и сохранения достоинства - VII.

Инстинкты (кроме инстинкта альтруизма) группируются в диады (схема 1). Диада А включает в себя инстинкты самосохранения и продолжения рода, и она - базовая, обеспечивающая физическое выживание особи и вида (рода). Диада Б включает в себя исследовательский инстинкт и инстинкт свободы. Она обеспечивает первичную специализацию особи. И, наконец, диада В включает в себя инстинкты доминирования и сохранения достоинства и обеспечивает самоутверждение, самосохранение особи в психосоциальном аспекте. Все вместе эти три диады в самом общем виде обеспечивают адаптацию человека в реальной жизни.

Схема 1

image002.jpg

Из вышесказанного вытекают следующие взаимосвязи (схема 2).

Схема 2

image004.jpg

Инстинкт альтруизма социализирует эгоцентрическую сущность инстинктов диады А, равно как и диад Б и В. Следует особо подчеркнуть, что роль инстинктов в личностных ориентациях, ценностях, потребностях вплоть до профориентации явно недооценивается. Инстинкт альтруизма социализирует не только приспособительную сущность всех остальных инстинктов, но и личностные тенденции и ориентации в целом. При отсутствии влияния альтруистического инстинкта носители холерического темперамента непродуктивно агрессивны, сангвинического — неустойчивы и асоциальны, флегматического — социально инертны, и все — эгоцентричны. Инстинкты активно влияют на формирование системы отношений в неосознаваемой сфере психики. Из инстинктивных побуждений вытекают первичные (фундаментальные) установки. И они мощно влияют на формирование ориентаций и личностных особенностей индивида, Инстинкты мощно влияют на сознание, особенно в экстремальных условиях. У эгоцентричного и мысли эгоцентричны. Очевидны и профили личности у индивидов с подавленными инстинктами самосохранения, продолжения рода, свободы или сохранения достоинства. С другой стороны, при доминировании инстинкта самосохранения формируется тревожно-мнительная личность и тревожны, мнительны мысли такого человека. Точно так же при главенстве инстинктов доминирования и исследовательского соответственно формируются жизненный замысел, образ жизни, система ценностей и осуществляется сам выбор судьбы.

из 156
Предыдущая    Следующая
 
Реклама
Авторизуйтесь