§ библиотека мастерская Помощь Контакты Вход —

Дубровинская Н.В., Фарбер Д.А., Безруких М.М. Психофизиология ребенка: Психофизиологические основы детской валеологии: Учеб. пособие для студ. высш. учеб. заведений

В каталоге: Медицина
Стр. 120

ИЗМЕНЕНИЯ В ПРОИЗВОЛЬНОЙ РЕГУЛЯЦИИ СЕНСОРНОЙ ФУНКЦИИ У ПОДРОСТКОВ

31.gif

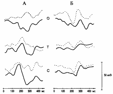
Рис.31. Снижение эффективности произвольной регуляции сенсорной функции на начальных стадиях полового созревания. Отсутствие характерных изменений ВП при мобилизационной готовности (сплош­ная линия), наблюдавшихся у подростка в предпубертатном периоде (А), на III стадии полового созре­вания (Б). Пунктир - ситуация спокойного наблюдения.

Нужны специальные педагоги­ческие приемы, направленные на поддержание внимания и развитие интереса к учебному материалу. Учитель может использовать эмоци­ональные факторы и мотивационный компонент - стремление подростков утвердить себя среди сверстников. Известно, что стимулирующая роль социальных мотиваций у подростков чрезвычайно велика, учитывая фор­мирующуюся самооценку.

На завершающих этапах пубер-татного периода при формировании устойчивого взаимодействия звень­ев эндокринной системы прекраща­ется отрицательное дестабилизирую­щее влияние полового созревания на функциональную организацию моз­га, реализацию процесса внимания и структуру мотивационной сферы.

Подростковый возраст как критический этап развития

В подростковом возрасте на на­чальных этапах полового созревания обнаруживаются «регрессивные» от­клонения в организации состояния покоя как готовности к действию и в мозговом обеспечении важнейших для формирования познавательной деятельности функций - восприятия и внимания. В основе наблюдаемых изменений лежат мощные биологи­ческие перестройки, сопровождаю­щиеся разбалансировкой отдельных звеньев регуляторной системы и сни­жением коркового контроля.

 На поведенческом уровне это про­является в эмоциональной неустойчи­вости, неуправляемости, снижении работоспособности и адаптационных возможностей в процессе учебной де­ятельности.

Вместе с тем в этом возрасте рез­ко возрастает потребность самоут­верждения, складывается рефлексирующая личность, формируется не всегда адекватная самооценка. Возникает несоответствие социаль­но-психологических запросов и фун­кциональных возможностей организ­ма, следствием чего могут явиться отклонения в здоровье и поведенчес­кая дезадаптация, различные формы девиантного поведения.

из 170
Предыдущая    Следующая
 
Реклама
Авторизуйтесь