§ библиотека мастерская Помощь Контакты Вход —

Собчик Л.Н. Тест восьми влечений Сонди и его модификация

В каталоге: Психология
Прислано в библиотеку: Selena107
Стр. 10

Реакции, при которых испытуемый выбирает по меньшей мере 2 портрета как симпатичных и как минимум 2 - несимпатичных, называются амбивалентными Если испытуемый выбирает 4, 5 или 6 портретов, но среди них есть и симпатичные и несимпатичные, то такой двойственный выбор называется амбиэквальным.

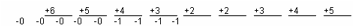
Таким образом реакции:

image098.gif

, из них первые две и амбиэквальными (равными).

Рассматриваются по отдельности каждый " +" с соответствующим ему внизу "-".

Реакции типа +1 -1  - относятся к разряду нулевых

image100.gif

image102.gif

Амбиэквальные реакции выявляют двойственность внутриличностной установки на соответствующее фактору влечение: влечение одновременно и подтверждается и отвергается. По направленности, таким образом, различают позитивную, негативную, двойственную - амбиэквальную и амбивалентную, а также нулевую (разрядка) реакции.

Позитивными реакциями являются:

image104.gif

т.е. реакции, при которых испытуемый выбирает из 6 портретов одного итого же фактора склонности по меньшей мере 2 в качестве симпатичных и самое большее 1 в качестве несимпатичного.

Негативные реакции:

image106.gif

т.е. реакции, при которых испытуемый выбирает из 6 портретов какого-либо фактора склонности по меньшей мере 2 в качестве несимпатичных и самое большее 1 в качестве симпатичного.

Двойственно направленные, амбивалентные или амбиэквальные реакции:

image108.gif

При амбивалентных, двойственно направленных реакциях испытуемый выбирает из 6 портретов одного и того же фактора по меньшей мере 2 в качестве симпатичных и одновременно по меньшей мере 2 в качестве несимпатичных.

Разряженные или нулевые реакции:

image110.gif

- испытуемый не выбирает ни одного портрета из 6, относящихся к данному фактору, или выбирает только 1, или самое большее 2, но 1 как симпатичный и 1 - как несимпатичный. При позитивных реакциях испытуемый подтверждает удовлетворенность соответствующей тенденцией, при негативных - отвергает ее.

из 102
Предыдущая    Следующая
 
Реклама
Авторизуйтесь