§ библиотека мастерская Помощь Контакты Вход —

Остапенко Р.И. Структурные связи ценностных ориентаций и поведенческого стиля в конфликтной ситуации работников организации

В каталоге: Психология
Прислано в библиотеку: ramiro
Стр. 5

image010.gif

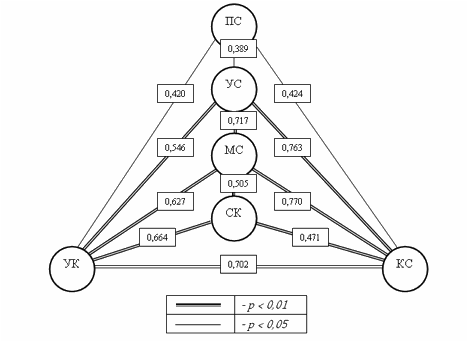
Обозначения: УК – устойчивость к конфликту, СК – самооценка рационального поведения в конфликте, КС – компромиссный стиль, МС – мягкий стиль, УС – уходящий стиль, ПС – примиренческий стиль.

Рис. 5. Корреляционный граф

Корреляционный анализ полученных данных позволил выявить значимые связи между стилями поведения и ценностными ориентациями испытуемых.

Отразим статистически значимые корреляционные связи в форме графа между показателями, полученными по методикам диагностики устойчивости к конфликтам, диагностики поведенческого стиля в конфликтной ситуации и самооценки рационального поведения в конфликте (см. рис. 5).

На рис. 5 все коэффициенты корреляции статистически значимы на уровне p < 0,01, кроме связей между переменными «устойчивость к конфликту» – «примиренческий стиль» (p < 0,05) и «компромиссный стиль» – «примиренческий стиль» (p < 0,05).

Отдельно отметим отрицательные связи между жестким стилем поведения и шкалами: «устойчивость к конфликту» (r = – 0,590, p < 0,01); «самооценка рационального поведения в конфликте» (r = – 0,384, p < 0,05); «компромиссный стиль» (r = – 0,705, p < 0,01); «мягкий стиль» (r = – 0,575, p < 0,01); «уходящий стиль» (r = – 0,511, p < 0,01).

Из исходной матрицы корреляций методом главных компонент (без вращения) был выделен один фактор (по критерию Кайзера). Объясняемая дисперсия компоненты – 60,95%.

Таблица 1. Матрица компонент

  Компонента
1
Устойчивость к конфликту
,860
Самооценка рационального поведения в конфликте
,650
Примиренческий стиль
,553
Компромиссный стиль
,884
Мягкий стиль
,846
Уходящий стиль
,833

Из табл. 1 видно, что минимальные нагрузки фактора имеют шкалы «примиренческий стиль» и «рационального поведения в конфликте» – 0,553 и 0,650 соответственно, максимальная – «компромиссный стиль» (0,884). Выделенный фактор можно интерпретировать как «устойчиво-рациональный стиль поведения».

из 11
Предыдущая    Следующая
 
Реклама
Авторизуйтесь