§ библиотека мастерская Помощь Контакты Вход —

Печников А.Н. Теоретические основы психолого-педагогического проектирования автоматизированных обучающих систем

В каталоге: Педагогика
Прислано в библиотеку: pan287
Стр. 348

1.5. (Sр) - К1, К2, К3, направление перемещения цели.

1.6. (DТ) - Т3, Т1.

1.7. (Vр) - Sр, DТ.

1.8. (Vц) - Vм, Vр.

3.2. Зависимость, определяющая последовательность выполнения операции:

Необходимость выполнения Возможность выполнения

1.1. - до 1.8 всегда

1.2. - до 1.5 всегда

1.3. - до 1.5 всегда

1.4. - до 1.5 всегда

1.5. - до 1.7 после 1.2, 1.3, 1.4

1.6. - до 1.7 всегда

1.7. - до 1.8 после 1.5, 1.6

Иерархически необходимая последовательность операций: 1.2, 1.3, 1.4, 1.5, 1.6, 1.1, 1.7, 1.8.

Рациональная последовательность операций: 1.1, 1.2, 1.3, 1.4, 1.5, 1.6, 1.7, 1.8.

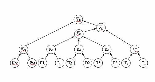
4. Построение смысловой структуры способа решения задачи:

image439.jpg

Рис. 2.2.2. Смысловая структура способа решения задачи

5. Разработка графовой модели (упорядоченного избыточного дерева)

image441.jpg

Рис.2.2.3. Графовая модель смысловой структуры способа решения задачи

Представленным выше образом графовое моделирование выполняет роль инструмента формализации конкретного УЭ. Соответственно полученные модели УЭ отражают как частные специфические особенности структуры рассматриваемого УЭ, так и общие свойства логических конструкций. Отображение в эталонной графовой модели УЭ специфических черт его структуры обеспечивает возможность использования такой модели для диагностики учебной деятельности обучаемого, а отображение в ней общих свойств логических конструкций - возможность измерения содержащейся в них семантической информации. Следовательно формирование смысловой структуры, а затем графовой модели УЭ есть своеобразный способ "упаковки" информации. Семантическая информация не только просто аккумулируется в модели, но при упорядочении ее элементов (повышении иерархической организации) ее количество все более возрастает: чем иерархичнее графовая модель УЭ, тем выше информативность ее структуры, которая определяется функцией ее энтропии (коэффициентом относительной энтропии [37, С.101]).

Для расчета семантической информации, содержащейся в смысловой структуре (графовой модели) УЭ целесообразно применять обоснованную В.П. Мизинцевым [79] методику:

1. Определяется средний ранг связности пучка в полученной графовой модели УЭ:

image443.jpg

где: Zср - средний ранг связности пучка в модели [связь/пучок]; m - количество пучков в графовой модели; mi - количество пучков с рангом связности Zi; р - количество связей в графовой модели.

из 443
Предыдущая    Следующая
 
Реклама
Авторизуйтесь