§ библиотека мастерская Помощь Контакты Вход —

Печников А.Н. Теоретические основы психолого-педагогического проектирования автоматизированных обучающих систем

В каталоге: Педагогика
Прислано в библиотеку: pan287
Стр. 349

Для проверки правильности подсчета рекомендуется известное соотношение между количеством вершин и ребер (связей) дерева: количество ребер (р) всегда на единицу меньше количества вершин (y): р=y-1.

2. Определяются абсолютные значения приведенной степени абстрагирования для каждой из вершин xji модели:

image445.jpg

где: Ф(Xji) - приведенная степень абстрагирования вершины Xji [бит/сем.ед.]; Z(Xji) - средний ранг связности пучка в той части структуры, в вершине которой находится семантическая единица Xji; y(Xji) - функция, определяющая количество вершин графа в той части структуры, в вершине которой расположена семантическая единица Xji.

При этом, если рассматриваемая семантическая единица Xji является исходным элементом модели (не имеет нисходящих связей), то ее степень абстрагирования принимается равной единице (Ф(Xji)=1).

3. Рассчитываются значения [Ф(Xji)]-1 для всех Xji.

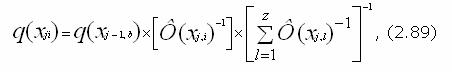
4. На основании обоснованной в [61] функции распределения определяются вероятности для всех вершин графа:

image447.jpg

где: q(Xji) - искомая вероятность рассматриваемой семантической единицы Xji; q(Xj-1,) - вероятность предшествующей высшей семантической единицы, с которой связана рассматриваемая вершина Xji; Ф(Xji) - приведенная степень абстрагирования рассматриваемой семантической единицы Xji; Ф(Xj,l) - приведенные степени абстрагирования всех семантических единиц вида Xji, связанных с вышестоящей единицей Xj-1,b, включая и рассматриваемую (l=1,Z).

Вероятность конечной вершины графа в эталонной модели принимается равной единице: q(X11) = 1.

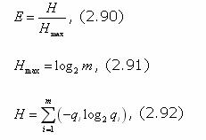
5. Рассчитывается показатель конфигурации (коэффициент относительной энтропии) графовой модели:

image449.jpg

где: E - коэффициент относительной энтропии (показатель конфигурации) графа; Hmax - величина максимальной энтропии числа m исходных элементов графа; H - величина исходных m элементов рассматриваемой модели; qi (i=1,m) - рассчитанное значение вероятности исходного элемента рассматриваемой модели.

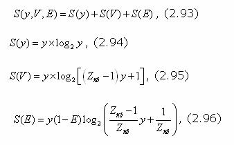
6. Определяется количество семантической информации, содержащейся в структуре рассматриваемой модели:

image451.jpg

где: S(y, V, E) - количество семантической информации, содержащейся в структуре графовой модели [бит]; S(y) - количество семантической информации, содержащееся в структуре при изменении ее ранга связности от 0 до 1 [бит]; S(V) - количество семантической информации, образующейся при изменении ранга связности пуска в структуре от 1 до Zср[бит]; S(E) - количество семантической информации, заключенное в конфигурации данной системы [бит]; y - число вершин в графовой модели.

из 443
Предыдущая    Следующая
 
Реклама
Авторизуйтесь