§ библиотека мастерская Помощь Контакты Вход —

Печников А.Н. Теоретические основы психолого-педагогического проектирования автоматизированных обучающих систем

В каталоге: Педагогика
Прислано в библиотеку: pan287
Стр. 406

Предположим, что ПУ УЭ выдана ПИ обучающая информация Iо о новом УЭ, имеющем трудоемкость усвоения Iэт. Пусть с выхода координирующей системы ПДЗ снимается информация управления Iу2, определяющая тип обучающего воздействия (учебная задача) и его трудоемкость, измеряемую количеством семантической информации Iэт в смысловой структуре способа ее решения. Эта же управляющая информация Iу2 в соответствии с алгоритмом реализации обучающего воздействия блокирует в точке А выдачу ПИ обучающей информации Iо. В соответствии с указанной выше спецификой любой познавательной (учебной) задачи, целью которой является наиболее полное и точное воспроизводство ПИ процедуры Пр перехода от начального (НС) к конечному (КС) состоянию предмета задачи, трудоемкость ее решения определяется количеством семантической информации Iэт в соответствующей модели УЭ. Информация Iвх = Iэт, сформулированная на языке входных ситуаций, образует на входе ПИ неорганизованность Овх. Эта неорганизованность с учетом того, что для эталонной модели L = 1, определяется в соответствии с (2.178) выражением:

image703.jpg

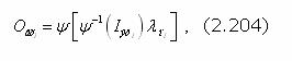
В результате воздействия на ПИ обучающей информации Iо в его тезаурусе ЭК и МП образовалось некоторое количество преобразующей информации IL о рассматриваемом УЭ. В соответствии с целью функционирования ПИ на основе этой информации в нем вырабатывается информация Iпр принятия решения, характеризующая снятую неорганизованность (DОi) УЭ (начальной ситуации учебной задачи). В соответствии с (2.178)

image705.jpg

где ILi - семантическая оценка преобразующей информации, соответствующей эталонной модели УЭ и правильно реализованной ПИ.

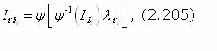
Подставляя в (2.205) оценки Iпр (2.162), lп(2.188) в разработанной системе исчисления информационных процессов в САО имеем

image707.jpg

где image709.jpg - прагматическая оценка влияния недостаточного количества семантической преобразующей информации в тезаурусе ЭК и МП ПИ на достижение заданной цели.

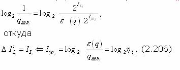
Определенные в соответствии с (2.206) прагматические оценки преобразующей информации IL ПИ обеспечивают и семантическую оценку этой информации. В соответствии с (2.157) прагматическая оценка (2.206) может быть представлена в виде

image711.jpg

где:image713.jpg - недостаток преобразующей информации ПИ на внутренней границе (ВГ) области полного достижения цели; image715.gif- фактический недостаток преобразующей информации ПИ в i-ом цикле функционирования.

Из (2.206, 2.207) семантическая оценка недостаточности преобразующей информации ПИ определится выражением:

из 443
Предыдущая    Следующая
 
Реклама
Авторизуйтесь