§ библиотека мастерская Помощь Контакты Вход —

Печников А.Н. Теоретические основы психолого-педагогического проектирования автоматизированных обучающих систем

В каталоге: Педагогика
Прислано в библиотеку: pan287
Стр. 407

image717.jpg

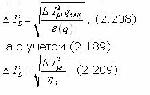
Учитывая, что логарифмическая функция в (2.160) принята в качестве функции отображения неупорядоченности в пространство неорганизованности и соответственно определяет в (2.148, 2.162) количество полезной информации, то, никогда не имея положительного значения в (2.206, 2.207),DIL определяет количество "пустой" семантической информации в тезаурусе ЭК и МП ПИ, а (2.206) и (2.208) соответственно являются прагматической и семантической оценками этой информации.

Несколько отвлекаясь от модели системы обучения, необходимо отметить, что соотношения (2.208, 2.209) определяют соответствующую здравому смыслу и практике обучения систему нормативов {Iэт, R} в отношении учебной деятельности обучаемого по воспроизводству эталонной модели УЭ. Покажем это на примере. Пусть перед обучаемым поставлена учебная задача по воспроизводству (объяснению) логико-смысловой структуры УЭ (ЛСМ и ФМ знания, ЛСМ умения), например, способа решения задачи, представленной на рис. 2.2.4. Необходимо, чтобы система нормативов по своему уровню требований, задаваемых e(q)=qвг, соответствовала и системе предпочтений обучающих в отношении ошибок обучаемых. Допустим, что в данном цикле обучения принято, что одна ошибка обучаемого в логике объединения двух семантических единиц более низкого уровня абстракции в семантическую единицу более высокого уровня соответствует оценке "4 - хорошо", а e(q)=0.0625. Для определения величины R в системе нормативов {Iэт, R} данного цикла обучения с учетом системы предпочтений обучающих необходимо:

1. Установить значение q для заданного балла оценки в рассматриваемой системе оценки.

В нашем случае при e(q)=0.0625 для балла "4 - хорошо" q=0.125 (см.таблицу 2.2.4).

2. Оценить информационную трудоемкость допустимой для рассматриваемого балла оценки ошибки обучаемого.

В нашем случае в соответствии с (2.93 - 2.96) трудоемкость допустимой для балла "4 - хорошо" ошибки Iд = 10.75 бит.

3. В соответствии с (2.157) определить значение R из формулы

image719.jpg

где: q - значение q для рассматриваемого балла оценки в заданной системе оценки; Iд - семантическая оценка информационной трудоемкости допустимой ошибки; R-предельно рассматриваемый радиус области частичного достижения учебных целей (см.рис.2.2.5).

В нашем случае R = 30.4 бит. Таким образом, если в процессе воспроизведения логико---смысловой структуры УЭ в рассматриваемом цикле обучения обучаемый совершает ошибки суммарной информационной трудоемкостью более указанного значения R, то его учебная деятельность в соответствии с (2.166) будет оценена баллом "2 - неудовлетворительно". Допустимые величины погрешностей для всех баллов оценки в традиционной 4-балльной шкале будут определяться следующими их значениями:

из 443
Предыдущая    Следующая
 
Реклама
Авторизуйтесь