§ библиотека мастерская Помощь Контакты Вход —

Печников А.Н. Теоретические основы психолого-педагогического проектирования автоматизированных обучающих систем

В каталоге: Педагогика
Прислано в библиотеку: pan287
Стр. 408

"5 - отлично" - 7.6 бит;

"4 - хорошо" - 10.75 бит;

"3 - удовлетворительно" - 15.2 бит;

"2 - неудовлетворительно" - 21.5 бит.

Заметим, что в случае решения критериальной учебной задачи (ФМ умения), любая ошибка в логике (правильности) действий обучаемого приведет к оценке "2 - неудовлетворительно" вне зависимости от рассмотренной выше величины R, поскольку она вызовет срыв выполнения учебной задачи по другим критериальным функциональным характеристикам деятельности (точность, быстродействие и т.д.)

Таким образом, снимаемая с выхода ПИ информация принятия решения позволяет характеризовать функционирование ПИ как с прагматических (оценка степени достижения целей обучающего воздействия), так и с семантических позиций (оценка соответствия преобразующей информации IL ПИ количеству семантической информации Iэт в эталонной модели УЭ). Информация Iпр сформирована обучаемым на языке принятия решений, т.е. она отражает весь процесс формирования решения познавательной задачи и его операционной реализации. Поэтому она может быть непосредственно использована для диагностики усвоения УЭ в анализаторе ПУ УЭ. Если обучаемый решает критериальную учебную задачу (ФМ умения), то процесс ее решения предполагает представление УЭ в виде некоторого объекта управления (ОУ) ПИ. В этом случае Iпр через исполнительный орган (ИО) воздействует на ОУ в виде Iупр, при бесконечной мощности ИО Iпр = Iупр. С выхода ИО Iупр в виде управляющего воздействия поступает на вход ОУ, целенаправленно изменяя характеристики его функционирования. С выхода ОУ снимается выходная информация Iвых, характеризующая остаточную неорганизованность ОУ (Овых). В соответствии с (2.143) image721.gif, но согласно (2.148) image723.gif. Тогда в соответствии с (2.142, 2.204, 2.205)

image725.jpg

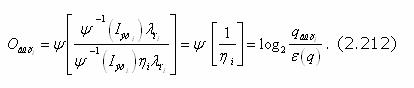
В соответствии с (2.206) оценку (2.211) неорганизованности ОУ можно представить в виде:

image727.jpg

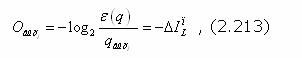
Информация Iвых, определяемая величиной неорганизованности Овых, несет в себе также данные о количестве "пустой" информации DIL в тезаурусе ЭК и МП ПИ:

image729.jpg

что позволяет использовать ее и для анализа работы ПИ с семантических позиций. В (2.213) знак минус означает недостаток преобразующей информации в тезаурусе ПИ.

Необходимо отметить, что для ФМ умения значения qвых в (2.209) и в (2.212) не совпадают, т.к. в (2.212) для ФМ умения кроме правильности будут учитываться и другие характеристики (точность, быстродействие и т.д.).

из 443
Предыдущая    Следующая
 
Реклама
Авторизуйтесь