§ библиотека мастерская Помощь Контакты Вход —

Печников А.Н. Теоретические основы психолого-педагогического проектирования автоматизированных обучающих систем

В каталоге: Педагогика
Прислано в библиотеку: pan287
Стр. 410

Информация корректуры Iкор, формируемая ПУ УЭ, и информация принятия решения Iпр, формируемая ПО УЭ являются соответственно семантической (Icосв=Iкор) и прагматической (Iпосв=Iпр ) составляющими осведомляющей информации, которая поступает на вход координирующей подсистемы ПДЗ. В ПДЗ в соответствии с (2.202) определяется коэффициент покрытия ПИ в i-ом цикле функционирования

image737.jpg

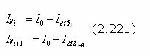
который в соответствии с (2.56) является критерием эффективности учебной деятельности обучаемого по результату и определяет степень его обученности в отношении рассматриваемого УЭ. Кроме того в соответствии с (2.58 - 2.85) в ПДЗ рассчитываются показатели эффективности функционирования самой обучающей системы в i-ом цикле обращения учебной информации, которые фиксируются в модели обучаемого. Как было отмечено выше, при установившемся режиме функционирования системы обучения функционирование ПИ определяется некоторым оптимальным в смысле критерия (2.85) количеством обучающей информации Iо, которое он может эффективно перевести с языка принятия решения на язык своего тезауруса, т.е. усвоить. На данном основании определяются две составляющие обучающей информации в (i+1)-ом цикле обучения: информация корректуры Iкор и информация развития Iр.

Информация корректуры в (i+1)-ом цикле обучения определяется качеством функционирования ПИ в i-ом цикле:

image739.jpg

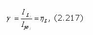
В свою очередь, количество семантической информации развития определяется соотношением оптимального количества обучающей информации Iо и информации корректуры Iкор и определяет трудоемкость усвоения Iэтi+1 нового УЭ:

image741.jpg

Данные о количестве и характере обучающей информации в (i+1)-ом цикле функционирования системы обучения (обучающем воздействии) в виде управляющей информации Iу1 поступают на вход ПУ УЭ, одновременно блокируя в точке В функционирование ПО УЭ и информируя его о характере нового УЭ.

Обучающая информация Iоi+1 поступает на вход анализатора ПИ, где переводится с языка принятия решений на язык тезауруса ЭК и МП ПИ, увеличивая его информационную емкость на величину Ili+1:

image743.jpg

где aR/T- коэффициент перевода с языка принятия решений на язык тезауруса ЭК и МП ПИ.

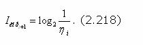
Поскольку мы рассматриваем функционирование системы обучения в установившемся режиме, в котором соблюдается условие постоянства количества информации Iр, то в двух последовательных циклах обращения информации должно иметь место следующее соотношение

image745.jpg

Из (2.221) необходимо следует, что возможность реализации установившегося режима функционирования ПИ определяется возможность выполнения равенства

из 443
Предыдущая    Следующая
 
Реклама
Авторизуйтесь