§ библиотека мастерская Помощь Контакты Вход —

Печников А.Н. Теоретические основы психолого-педагогического проектирования автоматизированных обучающих систем

В каталоге: Педагогика
Прислано в библиотеку: pan287
Стр. 411

image747.jpg

При условии постоянства информации развития (2.222) выполняется только в том случае, если Iкорi полностью преобразуется ПИ в i-ом цикле функционирования без образования "пустой" информации в его тезаурусе ЭК и МП. В соответствии с принятыми гипотезами (2.53, 2.54) функционирование ПИ в установившемся режиме и выполнение равенства (2.222) может быть обеспечено при выполнении следующего условия: количество обучающей семантической информации Iо, подаваемое на вход ПИ в i-ом цикле функционирования, не должно при ее преобразовании в ПИ образовывать такое количество "пустой" преобразующей информации IL, которое не может быть полностью воспринято ПИ в (i+1)-ом цикле функционирования.

Формально данное условие может быть определено требованием:

image749.jpg

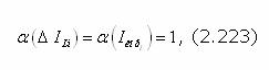
где a(I) - функция обучаемости.

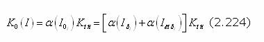
Однако выполнение условия (2.223), обеспечивая реализуемость установившегося режима функционирования ПИ, никак не отражает требования максимально возможной эффективности его функционирования, т.к. не определяет количество информации развития Iр ПИ в цикле функционирования. Для определения требований к количеству информации развития Iр и общему количеству обучающей информации Iо рассмотрим принятый критерий (2.84) эффективности обучения как функцию от количества обучающей информации в предположении о справедливости гипотез (2.53, 2.54), для чего представим (2.84) в виде

image751.jpg

где a(Ioi)- функция обучаемости (критерий эффективности учебной деятельности); Kос - критерий (2.75) эффективности обучающей системы.

 Критерий Кос эффективности ОС определяется параметрами самой системы и не зависит от количества информации, выдаваемой ПИ в цикле обращения учебной информации, но существенно зависит от возможностей ПИ в преобразовании этой информации, т.е. от возможностей самой ОС в правильном определении функции обучаемости a(I). Тогда максимально возможное значение функции (2.224) определится только видом функции обучаемости ПИ, а также количеством информации корректуры и развития поступающих на его вход в цикле обращения учебной информации.

Количество информации корректуры определяется, исходя из требования (2.223), как максимальное количество информации, удовлетворяющее условию

image753.jpg

где e - допустимое отклонение.

Если моделирующая функцию обучаемости зависимость имеет максимум на рассматриваемом интервале, то информация корректуры может быть определена на основе известных условий существования максимума функции:

из 443
Предыдущая    Следующая
 
Реклама
Авторизуйтесь