§ библиотека мастерская Помощь Контакты Вход —

Печников А.Н. Теоретические основы психолого-педагогического проектирования автоматизированных обучающих систем

В каталоге: Педагогика
Прислано в библиотеку: pan287
Стр. 412

image755.jpg

где a‘,a‘’- первая и вторая производные функции обучаемости.

Соответственно количество информации развития определится следующим соотношением:

image757.jpg

Формулы (2.225, 2.227) определяют закон управления функционированием ПИ в установившемся режиме, характеризуемом постоянным количеством поступающей на вход ПИ информации развития и постоянным предельным для ПИ ростом преобразующей информации в его тезаурусе ЭК и МП. Выполнение (2.225, 2.227) обеспечивает стабильный, максимально возможный для данного ПИ рост преобразующей информации в его тезаурусе, т.е. наиболее эффективное решение задачи развития ПИ (коммуникативной задачи).

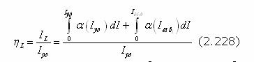
На основании проведенного анализа соотношения информации развития и информации корректуры в составе обучающей информации в цикле ее обращения информационный кпд ПИ можно представить в виде

image759.jpg

где i - число циклов обращения учебной информации, в которых производится корректура учебной деятельности обучаемого в отношении рассматриваемого УЭ.

В соответствии с функциональной структурой цикла обучения (см.рис.2.1.13) после завершения выдачи ПИ обучающей информации Iо ПДЗ вырабатывается управляющая информация Iу2, блокирующая в точке А функционирование ПУ УЭ и определяющая для ПО УЭ характер и трудоемкость учебной задачи, предназначенной для выдачи ПИ в (i+1)-ом цикле обращения учебной информации. ПО УЭ в (i+1)-ом цикле функционирования создает на входе ПИ неорганизованность входной ситуации учебного задания в отношении УЭi+1, определяемую также как в i-ом цикле в соответствии с (2.204).

Необходимо отметить, что как информация Iпр принятия решения, так и информация Iвыхт OУ поступает не только на вход анализатора ПО УЭ, но и на вход анализатора ПИ. Данное положение определяется способностью ПИ к самостоятельному анализу и корректуре своего функционирования. Возможности ПИ в анализе этих двух видов информации определяются тем количеством преобразующей информации IL, которой обладает ПИ в отношении рассматриваемого УЭ. Оценим полезность информации Iвых и Iпр, поступающих непосредственно на вход ПИ с прагматических позиций, т.е. с позиций полезности этой информации для достижения целей обучения. Для рассматриваемого ПИ информация принятия решения Iпр, сформированная на основе преобразующей информации IL, полностью согласована с теми методами преобразования УЭ, которые имеются в тезаурусе ЭК и МП ПИ. Поэтому без каких-либо воздействий на ПИ из вне она не может выполнять корректирующих функций. Иначе дело обстоит с информацией Iвых. Поскольку ПИ известна цель управления ОУ, например, в виде эталонных характеристик его функционирования (эталонного ответа учебной задачи), то сравнивая фактическое и эталонное функционирование ОУ, он способен оценить полезность принятого решения

из 443
Предыдущая    Следующая
 
Реклама
Авторизуйтесь