§ библиотека мастерская Помощь Контакты Вход —

Печников А.Н. Теоретические основы психолого-педагогического проектирования автоматизированных обучающих систем

В каталоге: Педагогика
Прислано в библиотеку: pan287
Стр. 413

image761.jpg

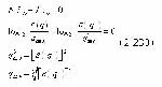
и осуществить его корректуру, т.е. сделать попытку устранения остаточной неорганизованности ОУ. При этом в соответствии с (2.206) происходит некоторое изменение преобразующей информации IL, которой обладает ПИ, на величину

image763.jpg

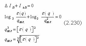
Данная информация самокорректуры в зависимости от соотношения e(q) и qвых может как уменьшить, так и полностью компенсировать ту "пустую" информацию, которая образовалась в тезаурусе ПИ в результате преобразования обучающей информации Iо. Условие полного преобразования "пустой" информации определяется из (2.206, 2.229):

image765.jpg

Так при e(q)=0.0625 полная компенсация "пустой" информации в тезаурусе ПИ возможна при qвых < 0.157, т.е. при оценке учебной деятельности обучаемого в 4-балльной шкале чуть ниже балла "4 - хорошо" (q4 = 0.125). С ростом qвых полезность информации самокорректуры снижается. При qвых >0.25, что соответствует в 4-балльной шкале оценкам ниже балла "3 - удовлетворительно",IDL <1, т.е. воспринимается только как факт неправильного решения задачи. С позиций практики обучения зависимость (2.230) тривиальна: чем выше степень обученности обучаемого в отношении рассматриваемого УЭ, тем выше его возможности в самостоятельном анализе и корректуре своей учебной деятельности.

Проведенный анализ представленной на рис. 2.3.5 теоретической модели системы обучения позволяет уточнить количество и назначение каналов прямой и обратной связи ОС с обучаемым в процессе обучения. Каналами прямой связи с обучаемым являются:

1. Канал внутренней связи - канал непосредственного воздействия на сознание обучающего путем воспроизведения фрагмента его учебной деятельности (первый основной тип обучающего воздействия).

2. Канал внешней связи - канал опосредованного воздействия на сознание обучаемого путем постановки определенных целей по преобразованию изучаемого УЭ (второй основной тип обучающего воздействия - учебная задача).

Каналы обратной связи в системе обучения могут быть классифицированы по двум признакам:

- каналы внутренней и внешней обратной связи;

- каналы непосредственной и опосредованной обратной связи.

К каналам внутренней обратной связи относятся каналы связи, непосредственно замкнутые с выхода ПИ на вход анализатора ПИ, т.е. каналы самоанализа и самокорректуры своей учебной деятельности самим обучаемым. К каналам внешней обратной связи относятся каналы поступления осведомляющей информации от обучаемого на вход ОС. К каналам непосредственной обратной связи относятся каналы предоставления обучаемым сформированной на языке принятия решений информации о пооперационном характере его учебной деятельности. Каналами опосредованной обратной связи являются каналы, несущие сформированную на языке входных ситуаций информацию о функционировании ОУ, управляемого обучаемым (информация о решении критериальных учебных задач).

из 443
Предыдущая    Следующая
 
Реклама
Авторизуйтесь