§ библиотека мастерская Помощь Контакты Вход —

Татарова Г.Г. Методология анализа данных в социологии (введение) /Учебник для вузов

В каталоге: Разное
Прислано в библиотеку: Vsevolod
Стр. 161

Из нашей предыдущей таблицы 3.3.1 видим, что будущих политологов, удовлетворенность учебой которых равна четырем баллам, было 30 человек. Студентов, обладающих первым свойством, всего 100 человек, а обладающих вторым свойством ¾ 250. Таблица 3.4.1 представляет собой таблицу вида (2x2) для наших двух свойств. В ячейках таблицы в скобках приведены условные обозначения абсолютных частот (а, b, с, d). В данном случае можно обойтись без индексов. Маргинальные частоты обозначены как суммы этих четырех частот.

Таблица 3.4.1. Таблица сопряженности для первой профессии и четвертой степени удовлетворенности

image130.jpg

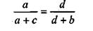
Одним из языков анализа связи между этими свойствами является поиск ответа на вопрос: наблюдается ли статистическая зависимость между этими свойствами. Если наблюдается статистическая независимость У (удовлетворенные учебой на «четыре») от П (политологи), то 30/250 (доля удовлетворенных учебой политологов среди всех удовлетворенных учебой на четыре балла) должно равняться 70/750 (доля «остальных» политологов среди всех «остальных»). То же самое запишем в общем виде:

image132.jpg

Из этого следует, что a(d + b) = (а + c)d —>ab = cd . Тогда разность ab —cd можно использовать как меру отклонения от статистической независимости. Такое же соотношение получим, если будем рассуждать по-другому. Если статистическая независимость П от У наблюдается, то, 30/100 (доля удовлетворенных политологов среди политологов) должно равняться 220/900 (доля удовлетворенных «не политологов» среди всех «не политологов»).

На этой разности и основан коэффициент Юла (G, Yule), который имеет следующий вид:

image134.jpg

Знаменатель введен для того, чтобы значения этого коэффициента изменялись от -1 до +1. Если вы видите коэффициенты двухэтажные (со знаменателями), то очень часто (но не всегда) наличие знаменателя служит как бы для нормирования интервала изменения значений коэффициента. Содержательный смысл меры связи, как правило, передает числитель. Рассмотрим свойства (поведение) этого коэффициента:

из 225
Предыдущая    Следующая
 
Реклама
Авторизуйтесь