| § | библиотека – мастерская – | Помощь Контакты | Вход — |
Олешков М.Ю. Технологии обучения в высшей школе// Нижнетагильская государственная социально-педагогическая академия. Ученые записки. Педагогика. Психология – Нижний Тагил, 2003. – С. 47-54
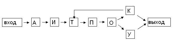
Стр. 12 Мы остановимся на следующем определении модуля: модуль - определенный объем учебной информации (отдельная тема, раздел общего курса). Цель разработки модулей состоит в «расчленении содержания каждой темы курса на составные компоненты в соответствии с профессиональными, педагогическими и дидактическими задачами, определение для всех компонентов разнообразных форм и видов обучения, согласование их по времени и интеграция в едином комплексе» [1]. Учебный модуль как самостоятельная структурная единица состоит из отдельных блоков, последовательность которых и определяет структуру технологии. Блок – отрезок учебного времени, структурный элемент модуля, имеющий локальную цель и обладающий логической целостностью. Можно выделить несколько различных блоков: организационный, повторение, изучение нового материала, закрепление, контроль, коррекция и др. Известно, что реализовать ту или иную педагогическую технологию «в чистом виде» практическими невозможно, так или иначе приходится опираться на уже устоявшиеся дидактические структуры и традиционные подходы к организации учебного процесса. Рассмотрим возможности реализации блочно-модульной технологии при изучении темы «Методы обучения русскому языку» (7 семестр, 6 лекционных и 8 часов практических занятий по учебному плану). Технологический модуль по теме «Методы обучения русскому языку» состоит из 8 (9) блоков, последовательность которых может быть изображена в виде схемы: Основной дидактической функцией блока «ВХОД» является осуществление «входного» контроля в тестовой форме, главная особенность которого заключается в том, что его прохождение означает своего рода выдачу «пропуска» в модуль. Тест проверяет знания студентов по таким дидактическим темам (изучавшимся в 6 семестре), как «Принципы обучения», «Метод и прием обучения» и «Общедидактическая классификация методов обучения». Результаты входного тестирования позволяют преподавателю акцентировать внимание на отдельных («забытых» студентами) дидактических понятиях и определениях на следующем этапе работы – в блоке актуализации. |
Реклама
|
||